- My Forums
- Tiger Rant
- LSU Recruiting
- SEC Rant
- Saints Talk
- Pelicans Talk
- More Sports Board
- Fantasy Sports
- Golf Board
- Soccer Board
- O-T Lounge
- Tech Board
- Home/Garden Board
- Outdoor Board
- Health/Fitness Board
- Movie/TV Board
- Book Board
- Music Board
- Political Talk
- Money Talk
- Fark Board
- Gaming Board
- Travel Board
- Food/Drink Board
- Ticket Exchange
- TD Help Board
Customize My Forums- View All Forums
- Show Left Links
- Topic Sort Options
- Trending Topics
- Recent Topics
- Active Topics
Started By
Message
Posted on 1/31/23 at 4:37 pm to OU Guy
SRX is gonna be great this year!
Brad Keselowski will join SRX for the full six-race schedule this summer.
Brad Keselowski will join SRX for the full six-race schedule this summer.
Posted on 1/31/23 at 4:38 pm to OU Guy
For this weekend at the left coast:
Posted on 1/31/23 at 4:39 pm to OU Guy
The four Dash 4 Cash races for the Xfinity Series in 2023 are: Richmond, Martinsville, Talladega and Dover.
Posted on 1/31/23 at 4:43 pm to OU Guy
No more Chastain wall moves:
NASCAR announces rule changes for 2023 season
NASCAR announced Tuesday that stage racing at road courses will have a new look in 2023 with no caution flags interrupting the flow of competition. Additionally, the sanctioning body will enforce rules already written in the NASCAR Rule Book to officiate vehicles that employ a similar strategy to the one Ross Chastain used in his “Hail Melon” move at Martinsville Speedway by issuing a time penalty.
The removal of stage cautions at road courses comes following a review of Fan Council Data and industry discussions. Stage points will still be awarded at the stage-ending lap, but the green-checkered flag will not be displayed and there will not be a caution period to interrupt the action.
In other competition-related news, competition officials have revised the penalty structure for detached wheels, shifting away from the four-race crew chief suspension that had been in place since 2015.
Competition officials have also expanded the list of tracks where wet-weather equipment could be used in 2023, adding several tracks of 1 mile or less to the mix of road courses. Those events include races at: the Los Angeles Memorial Coliseum, Martinsville Speedway, New Hampshire Motor Speedway, North Wilkesboro Speedway for All-Star weekend, Phoenix Raceway, Richmond Raceway, The Milwaukee Mile and Lucas Oil Indianapolis Raceway Park.
Jayski LINK
NASCAR announces rule changes for 2023 season
NASCAR announced Tuesday that stage racing at road courses will have a new look in 2023 with no caution flags interrupting the flow of competition. Additionally, the sanctioning body will enforce rules already written in the NASCAR Rule Book to officiate vehicles that employ a similar strategy to the one Ross Chastain used in his “Hail Melon” move at Martinsville Speedway by issuing a time penalty.
The removal of stage cautions at road courses comes following a review of Fan Council Data and industry discussions. Stage points will still be awarded at the stage-ending lap, but the green-checkered flag will not be displayed and there will not be a caution period to interrupt the action.
In other competition-related news, competition officials have revised the penalty structure for detached wheels, shifting away from the four-race crew chief suspension that had been in place since 2015.
Competition officials have also expanded the list of tracks where wet-weather equipment could be used in 2023, adding several tracks of 1 mile or less to the mix of road courses. Those events include races at: the Los Angeles Memorial Coliseum, Martinsville Speedway, New Hampshire Motor Speedway, North Wilkesboro Speedway for All-Star weekend, Phoenix Raceway, Richmond Raceway, The Milwaukee Mile and Lucas Oil Indianapolis Raceway Park.
Jayski LINK
Posted on 1/31/23 at 6:01 pm to OU Guy
quote:
Elton Sawyer
Now there's a name I haven't heard in a coon's age
Posted on 1/31/23 at 6:21 pm to OU Guy
quote:
No more Chastain wall moves:
That sucks.
But we all saw it coming.
Posted on 1/31/23 at 6:28 pm to tWildcat
quote:
Championship 4 prediction
Larson
William Clyde
Chastain
Hamlin
This post was edited on 2/1/23 at 6:39 am
Posted on 1/31/23 at 7:22 pm to SteelerBravesDawg
Final 4:
Harvick
Elliott
Hamlin
Keslowski
Just missing
Rowdy Busch
Logano
Chastain
Larson
Harvick
Elliott
Hamlin
Keslowski
Just missing
Rowdy Busch
Logano
Chastain
Larson
Posted on 2/1/23 at 6:40 am to OU Guy
I replaced Bell w/Hamlin in mine. That's my final answer. 
Posted on 2/1/23 at 7:26 am to SteelerBravesDawg
A promoter has bought six old NASCAR Cup Series cars and is using them for a 'NASCAR On Ice' race this weekend on a frozen lake in Wisconsin. -
Duluth News LINK
Duluth News LINK
Posted on 2/1/23 at 12:30 pm to OU Guy
Justin Marks is a great presence in NASCAR.
Posted on 2/1/23 at 12:37 pm to Roll Tide Ravens
quote:
Justin Marks is a great presence in NASCAR.
Yes he is. If they can somehow put it in a showroom where fans pay $5 to see it then can make their money back. Or if one of their drivers has 1 less wreck this year like in D500, then they save that amount of money (tell Ross to stat away from Denny this year lol).
Really glad he’s keeping it intact its a one of and there will never be another.
Posted on 2/1/23 at 2:41 pm to OU Guy
Playoff drivers
Ford - Harvick, Kes, Logano, McDowell, Blaney
Chevy - Chastain, Larsen, Kyle Busch, Chase, Byron, Bowman
Toyota - Ty Gibbs, Hamlin, Truex, Bell, Bubba
Final 4 Chase, Logano, Hamlin, Chastain
Ford - Harvick, Kes, Logano, McDowell, Blaney
Chevy - Chastain, Larsen, Kyle Busch, Chase, Byron, Bowman
Toyota - Ty Gibbs, Hamlin, Truex, Bell, Bubba
Final 4 Chase, Logano, Hamlin, Chastain
Posted on 2/1/23 at 9:40 pm to Pfft
Remember when Bubba assaulted Larson after intentionally wrecking him at high speed?
NASCAR has increased the potential penalties for damaging another vehicle on pit road and also for altercations. Select pages to show the changes:
NASCAR has increased the potential penalties for damaging another vehicle on pit road and also for altercations. Select pages to show the changes:
This post was edited on 2/1/23 at 9:41 pm
Posted on 2/1/23 at 9:46 pm to OU Guy
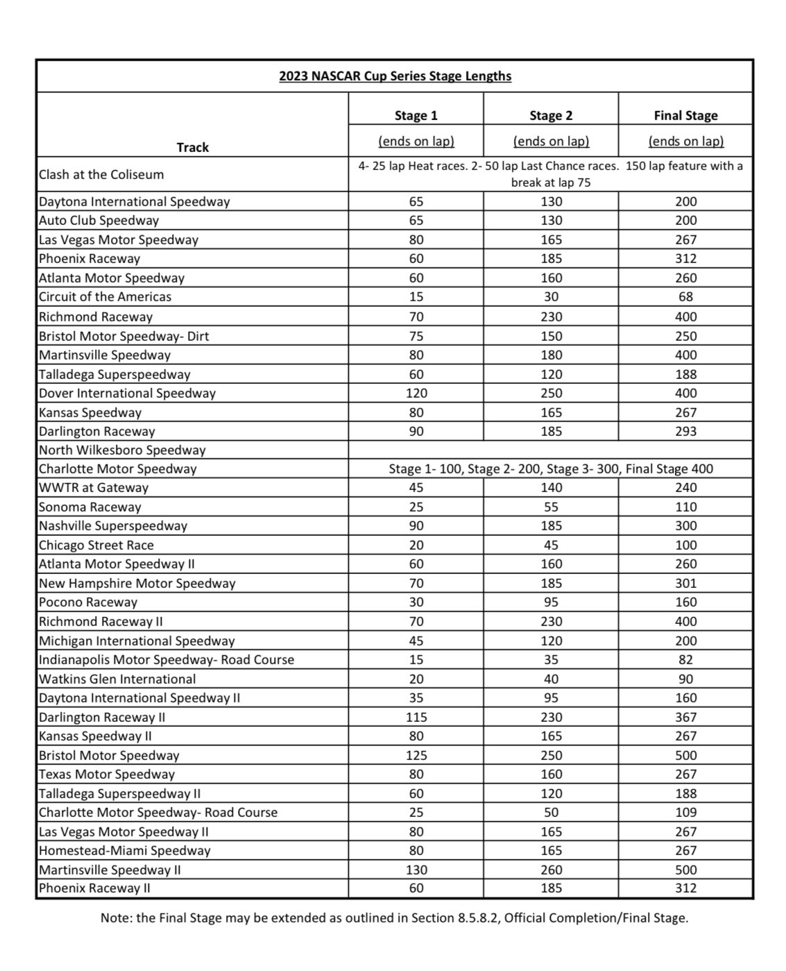
NASCAR announces 2023 race stage lengths
NASCAR has released race stage lengths for the 2023 season for all three national series.
This season NASCAR will not throw a caution a the end of stages on road courses, except for Xfinity and Truck stand-alone events
NASCAR has released race stage lengths for the 2023 season for all three national series.
This season NASCAR will not throw a caution a the end of stages on road courses, except for Xfinity and Truck stand-alone events
Posted on 2/1/23 at 9:50 pm to OU Guy
Some good news and some bad news for NASCAR Scanner users headed into this season. The bad news is that paid subscriptions to Scanner on PC will no longer be offered. Sorry.
The good news is that you’ll get it for free. Starting this weekend
The good news is that you’ll get it for free. Starting this weekend
Popular
Back to top


1



